Pc-Saturation & Relative Permeability Functions

How To Test Characteristic Curves

The CHARACTERISTIC_CURVES card allows testing of the specific capillary pressure-saturation functions and relative permeability functions chosen for the simulation. Testing can be done by including the keyword TEST within the CHARACTERISTIC_CURVES block. Including this keyword will produce output (.dat files) which provides (a) the capillary pressure for the entire range of liquid saturation, (b) the liquid saturation for the entire range of capillary pressures, (c) the analytical derivative of liquid saturation with respect to the capillary pressure, (d) the numerical derivative of liquid saturation with respect to the capillary pressure, (e) the liquid relative permeability values for the range of liquid saturation, (f) the gas relative permeability values for the range of liquid saturation, and the (g) analytical and (h) numerical derivatives of the relative permeability functions with respect to liquid saturation.

Example

CHARACTERISTIC_CURVES cc1
  SATURATION_FUNCTION VAN_GENUCHTEN
    LIQUID_RESIDUAL_SATURATION 0.d0
    M 0.5d0
    ALPHA 1.d-4
    MAX_CAPILLARY_PRESSURE 1.d6
  /
  PERMEABILITY_FUNCTION MUALEM_VG_LIQ
    LIQUID_RESIDUAL_SATURATION 0.d0
    M 0.5d0
  /
  PERMEABILITY_FUNCTION MUALEM_VG_GAS
    LIQUID_RESIDUAL_SATURATION 0.d0
    GAS_RESIDUAL_SATURATION 1.d-40
    M 0.5d0
  /
  TEST
/

Including the TEST keyword in the CHARACTERISTIC_CURVES block, as shown above, will produce the following output files, shown as examples only:

pflotran_sat_pc.dat:

"saturation", "capillary pressure"
0.000000E+00  1.000000E+09
1.000000E-02  1.000000E+09
2.000000E-02  1.000000E+09
3.000000E-02  1.000000E+09
4.000000E-02  1.000000E+09
5.000000E-02  1.000000E+09
6.000000E-02  1.000000E+09
7.000000E-02  1.000000E+09
8.000000E-02  1.000000E+09
9.000000E-02  1.000000E+09
1.000000E-01  1.000000E+09
1.100000E-01  1.000000E+09
1.200000E-01  1.000000E+09
1.300000E-01  1.000000E+09
1.400000E-01  1.000000E+09
1.500000E-01  1.000000E+09
1.600000E-01  7.593750E+08
1.700000E-01  3.513358E+08
1.800000E-01  1.802032E+08
1.900000E-01  1.000000E+08
2.000000E-01  5.904900E+07
...           ...

pflotran_pc_sat.dat:

"capillary pressure", "saturation", "dsat/dpres", "dsat/dpres_numerical"
1.000000E+00  1.000000E+00  0.000000E+00  0.000000E+00
2.000000E+00  1.000000E+00  0.000000E+00  0.000000E+00
3.000000E+00  1.000000E+00  0.000000E+00  0.000000E+00
4.000000E+00  1.000000E+00  0.000000E+00  0.000000E+00
5.000000E+00  1.000000E+00  0.000000E+00  0.000000E+00
6.000000E+00  1.000000E+00  0.000000E+00  0.000000E+00
7.000000E+00  1.000000E+00  0.000000E+00  0.000000E+00
8.000000E+00  1.000000E+00  0.000000E+00  0.000000E+00
9.000000E+00  1.000000E+00  0.000000E+00  0.000000E+00
1.000000E+01  1.000000E+00  0.000000E+00  0.000000E+00
2.000000E+01  1.000000E+00  0.000000E+00  0.000000E+00
3.000000E+01  1.000000E+00  0.000000E+00  0.000000E+00
4.000000E+01  1.000000E+00  0.000000E+00  0.000000E+00
5.000000E+01  1.000000E+00  0.000000E+00  0.000000E+00
6.000000E+01  1.000000E+00  0.000000E+00  0.000000E+00
7.000000E+01  1.000000E+00  0.000000E+00  0.000000E+00
8.000000E+01  1.000000E+00  0.000000E+00  0.000000E+00
9.000000E+01  1.000000E+00  0.000000E+00  0.000000E+00
1.000000E+02  1.000000E+00  0.000000E+00  0.000000E+00
2.000000E+02  1.000000E+00  0.000000E+00  0.000000E+00
...           ...

pflotran_liquid_rel_perm.dat:

"saturation", "liquid relative permeability", "liquid dkr/dsat", "liquid dkr/dsat_numerical"
0.000000E+00  0.000000E+00  0.000000E+00  0.000000E+00
1.000000E-02  0.000000E+00  0.000000E+00  0.000000E+00
2.000000E-02  0.000000E+00  0.000000E+00  0.000000E+00
3.000000E-02  0.000000E+00  0.000000E+00  0.000000E+00
4.000000E-02  0.000000E+00  0.000000E+00  0.000000E+00
5.000000E-02  0.000000E+00  0.000000E+00  0.000000E+00
6.000000E-02  0.000000E+00  0.000000E+00  0.000000E+00
7.000000E-02  0.000000E+00  0.000000E+00  0.000000E+00
8.000000E-02  0.000000E+00  0.000000E+00  0.000000E+00
9.000000E-02  0.000000E+00  0.000000E+00  0.000000E+00
1.000000E-01  0.000000E+00  0.000000E+00  6.969172E-46
1.100000E-01  2.203846E-15  1.652884E-12  1.652943E-12
1.200000E-01  3.989387E-13  1.496020E-10  1.496049E-10
1.300000E-01  8.348157E-12  2.087039E-09  2.087069E-09
1.400000E-01  7.221562E-11  1.354043E-08  1.354058E-08
1.500000E-01  3.849960E-10  5.774940E-08  5.774996E-08
1.600000E-01  1.511178E-09  1.888972E-07  1.888989E-07
1.700000E-01  4.801937E-09  5.144933E-07  5.144973E-07
1.800000E-01  1.307242E-08  1.225540E-06  1.225549E-06
1.900000E-01  3.162278E-08  2.635231E-06  2.635249E-06
2.000000E-01  6.969172E-08  5.226879E-06  5.226913E-06
...           ...

pflotran_gas_rel_perm.dat:

"saturation", "gas relative permeability", "gas dkr/dsat", "gas dkr/dsat_numerical"
0.000000E+00  1.000000E+00  0.000000E+00  0.000000E+00
1.000000E-02  1.000000E+00  0.000000E+00  0.000000E+00
2.000000E-02  1.000000E+00  0.000000E+00  0.000000E+00
3.000000E-02  1.000000E+00  0.000000E+00  0.000000E+00
4.000000E-02  1.000000E+00  0.000000E+00  0.000000E+00
5.000000E-02  1.000000E+00  0.000000E+00  0.000000E+00
6.000000E-02  1.000000E+00  0.000000E+00  0.000000E+00
7.000000E-02  1.000000E+00  0.000000E+00  0.000000E+00
8.000000E-02  1.000000E+00  0.000000E+00  0.000000E+00
9.000000E-02  1.000000E+00  0.000000E+00  0.000000E+00
1.000000E-01  1.000000E+00  0.000000E+00 -6.250000E-01
1.100000E-01  9.937136E-01 -6.333929E-01 -6.333930E-01
1.200000E-01  9.873154E-01 -6.469643E-01 -6.469643E-01
1.300000E-01  9.807617E-01 -6.643325E-01 -6.643327E-01
1.400000E-01  9.740181E-01 -6.848812E-01 -6.848814E-01
1.500000E-01  9.670549E-01 -7.082013E-01 -7.082015E-01
1.600000E-01  9.598459E-01 -7.339817E-01 -7.339819E-01
1.700000E-01  9.523679E-01 -7.619671E-01 -7.619673E-01
1.800000E-01  9.445999E-01 -7.919370E-01 -7.919373E-01
1.900000E-01  9.365232E-01 -8.236948E-01 -8.236951E-01
2.000000E-01  9.281207E-01 -8.570601E-01 -8.570604E-01
...           ...

By plotting these output files against the equations documented under Capillary Pressure - Saturation Functions and Relative Permeability Functions, a visual comparison can be made of the accuracy of the implemented characteristic curves within PFLOTRAN.

Testing Results For Pc-Saturation Functions

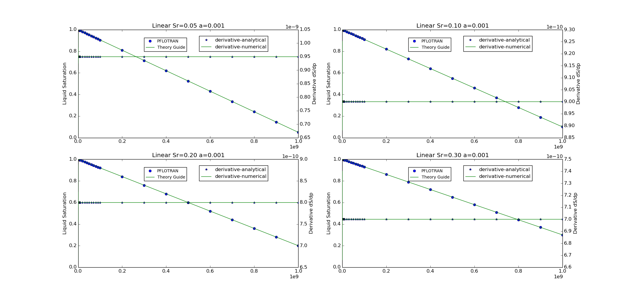
The following plots show a visual comparison between the PFLOTRAN implementation of the capillary pressure and saturation functions, and the equation for these functions as given in Chen et al. (1999), or the Theory Guide in the case of the linear relationships. The results of the SMOOTH option is also tested for the Brooks-Corey relationships. For the linear saturation function relationship, the value of alpha given does not modify the solution significantly, therefore, the value of alpha is held constant, while the liquid residual saturation is varied between 0.05 and 0.30.

Chen, J., J. W. Hopmans, and M. E. Grismer (1999) Parameter estimation of two-fluid capillary pressure-saturation and permeability functions, Advances in Water Resources, Vol. 22, No. 5, pp. 479-493.

Brooks-Corey

This option is specified with SATURATION_FUNCTION BROOKS_COREY in the CHARACTERISTIC_CURVES card.

\[ \begin{align}\begin{aligned}S_e =& \left({\frac{1}{\alpha p_c}}\right)^{\lambda}\\p_c =& \frac{S_e^{-1/\lambda}}{\alpha}\\S_e =& \frac{S_l - S_{rl}}{1 - S_{rl}}\end{aligned}\end{align} \]
../_images/bcb_sat_function.png
../_images/bcb_pc_function.png

Note, similar relationships are used for the SATURATION_FUNCTION options BRAGFLO_KRP2, BRAGFLO_KRP3, BRAGFLO_KRP4, and BRAGFLO_KRP12 options, with minor tweaks.

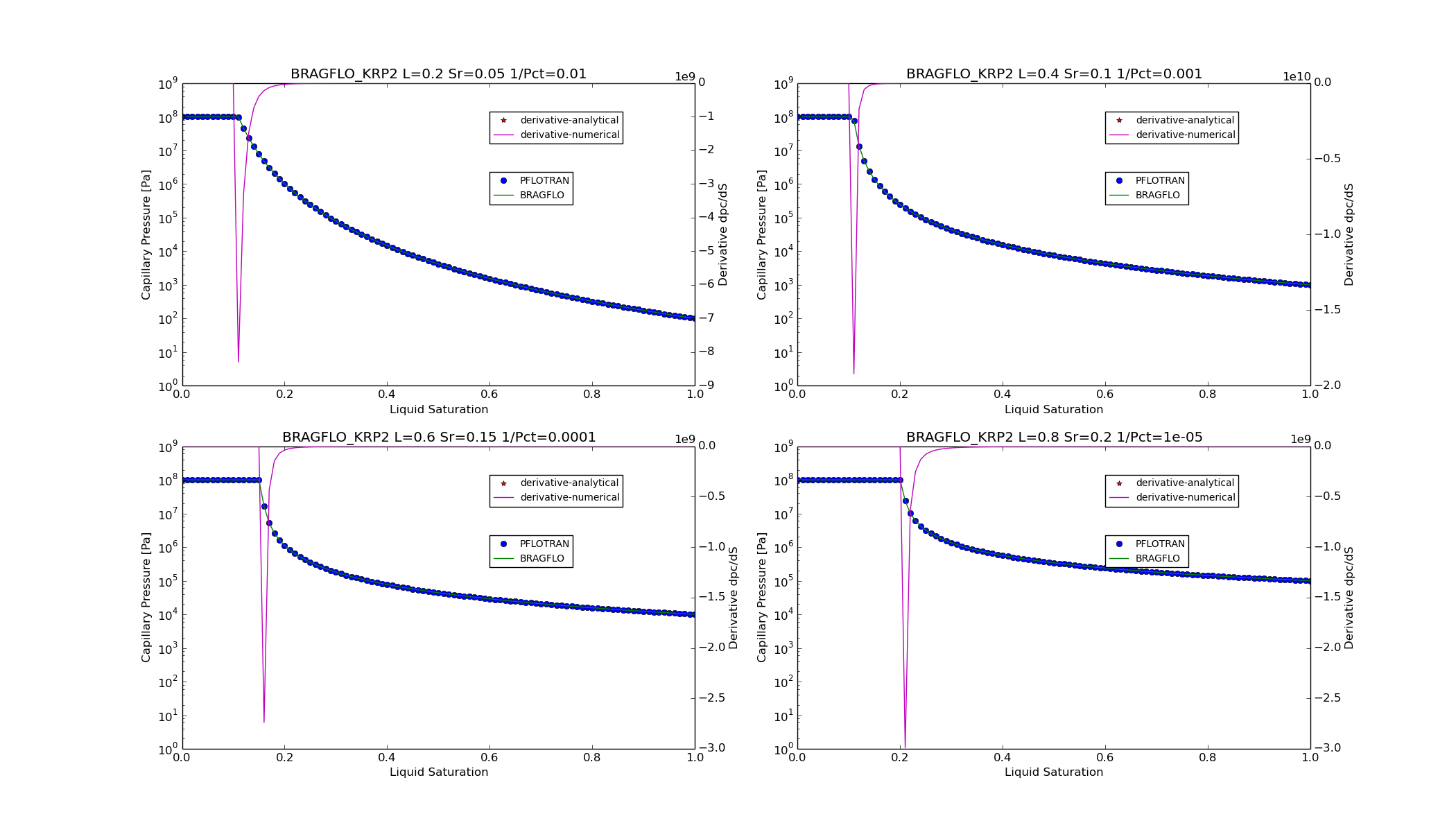
KRP2

For option CHARACTERISTIC_CURVES SATURATION_FUNCTION BRAGFLO_KRP2,

\[ \begin{align}\begin{aligned}P_t =& ak^v\\S_{e1} =& \frac{S_l - S_{rl}}{1 - S_{rl}}\\p_c =& 0 \hspace{0.55in} S_l \leq S_{rl}\\p_c =& \frac {P_t} {S_{e1}^{1/\lambda}} \hspace{0.55in} otherwise\end{aligned}\end{align} \]
../_images/BRAGFLO_KRP2_satpc_function.png
../_images/BRAGFLO_KRP2_pcsat_function.png

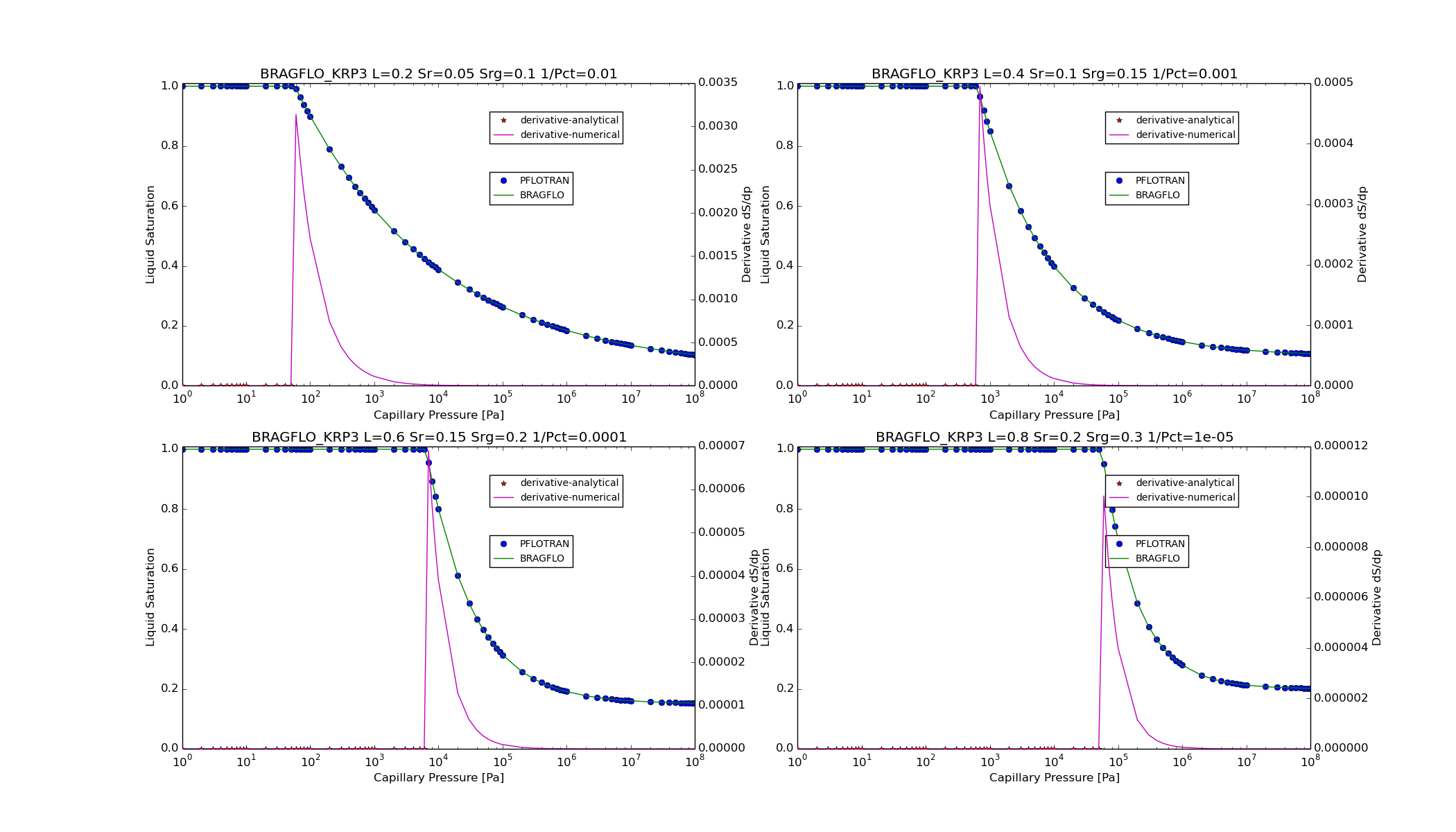
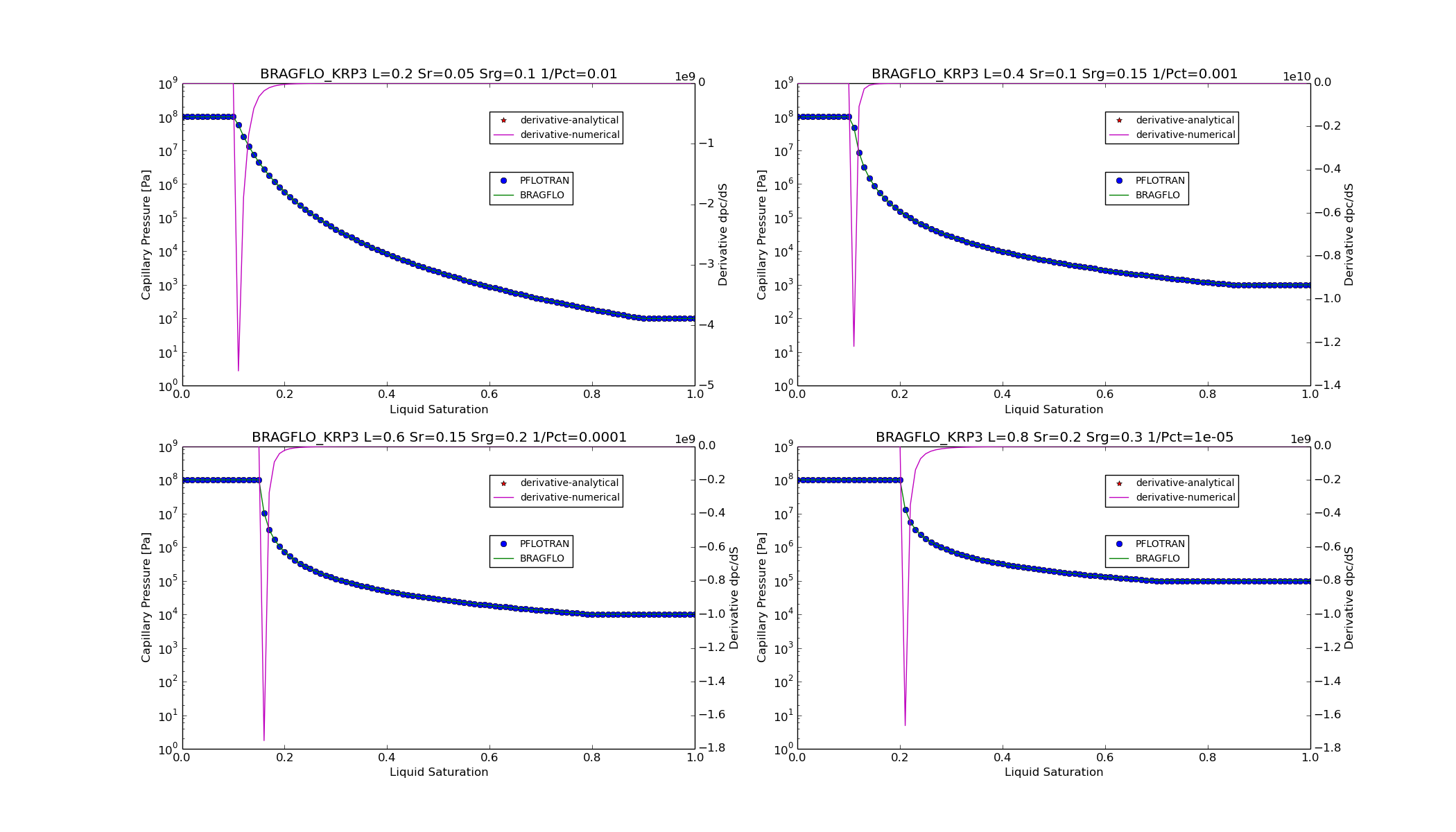
KRP3

For option CHARACTERISTIC_CURVES SATURATION_FUNCTION BRAGFLO_KRP3,

\[ \begin{align}\begin{aligned}P_t =& ak^v\\S_{e2} =& \frac{S_l - S_{rl}}{1 - S_{rl} - S_{rg}}\\p_c =& P_t \hspace{0.55in} S_g \leq S_{rg}\\p_c =& \frac {P_t} {S_{e2}^{1/\lambda}} \hspace{0.55in} S_{l} > S_{rl}\\p_c =& 0 \hspace{0.55in} otherwise\end{aligned}\end{align} \]
../_images/BRAGFLO_KRP3_satpc_function.png
../_images/BRAGFLO_KRP3_pcsat_function.png

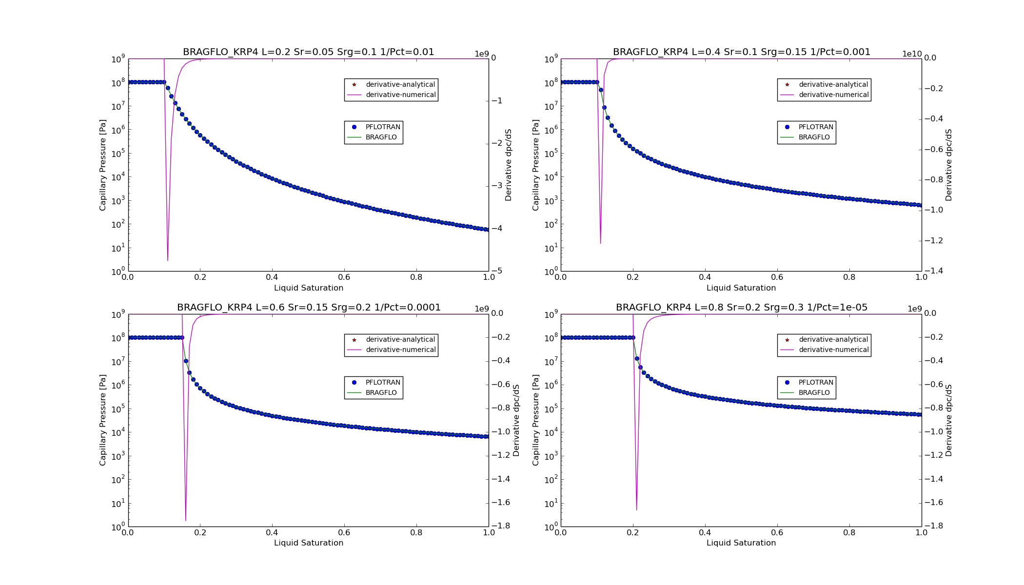
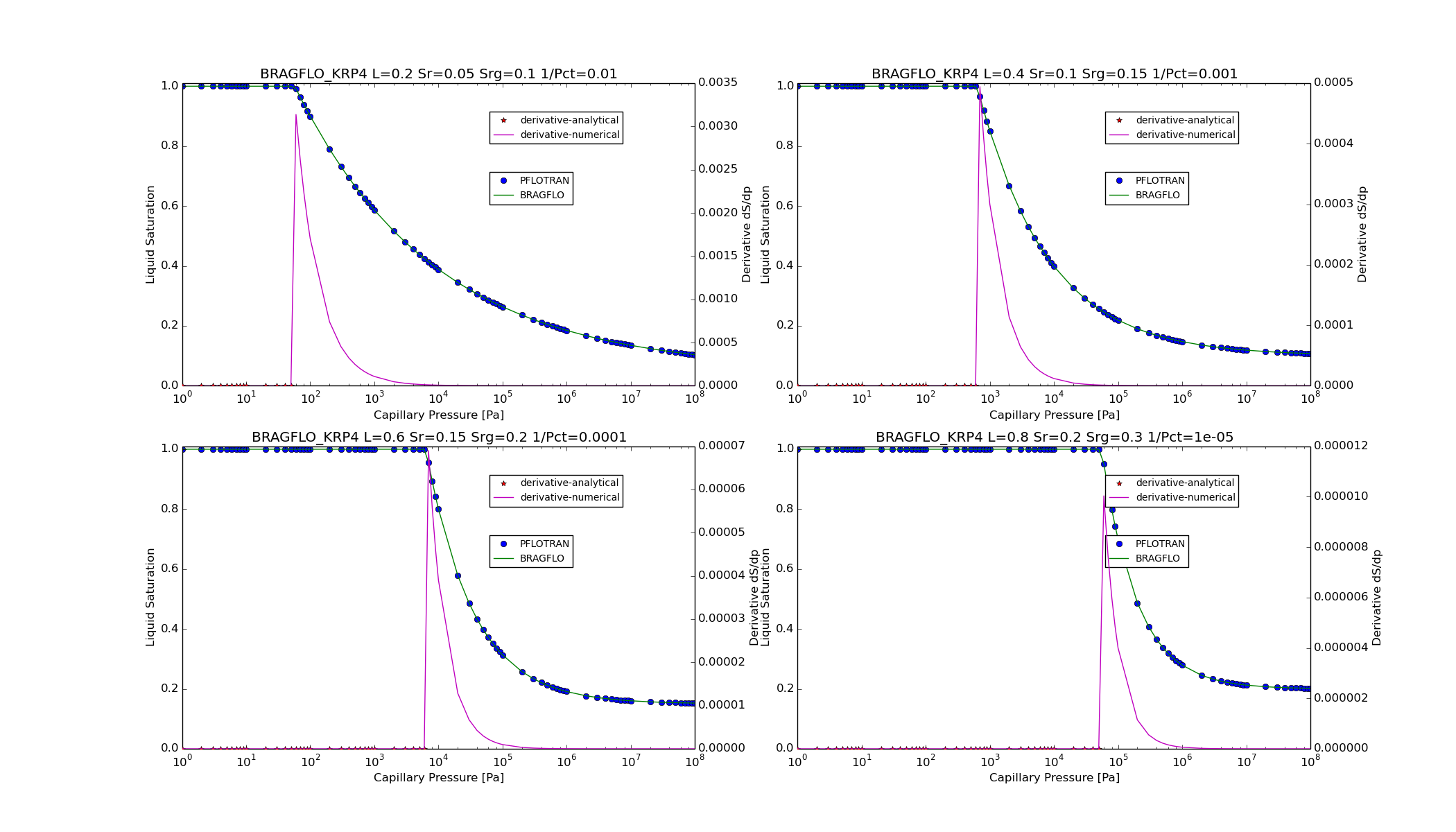
KRP4

For option CHARACTERISTIC_CURVES SATURATION_FUNCTION BRAGFLO_KRP4,

\[ \begin{align}\begin{aligned}P_t =& ak^v\\S_{e2} =& \frac{S_l - S_{rl}}{1 - S_{rl} - S_{rg}}\\p_c =& \frac {P_t} {S_{e2}^{1/\lambda}} \hspace{0.55in} S_g \leq S_{rg}\\p_c =& \frac {P_t} {S_{e2}^{1/\lambda}} \hspace{0.55in} S_{l} > S_{rl}\\p_c =& 0 \hspace{0.55in} otherwise\end{aligned}\end{align} \]
../_images/BRAGFLO_KRP4_satpc_function.png
../_images/BRAGFLO_KRP4_pcsat_function.png

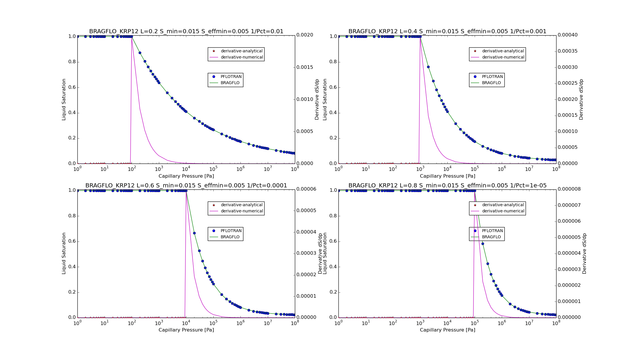
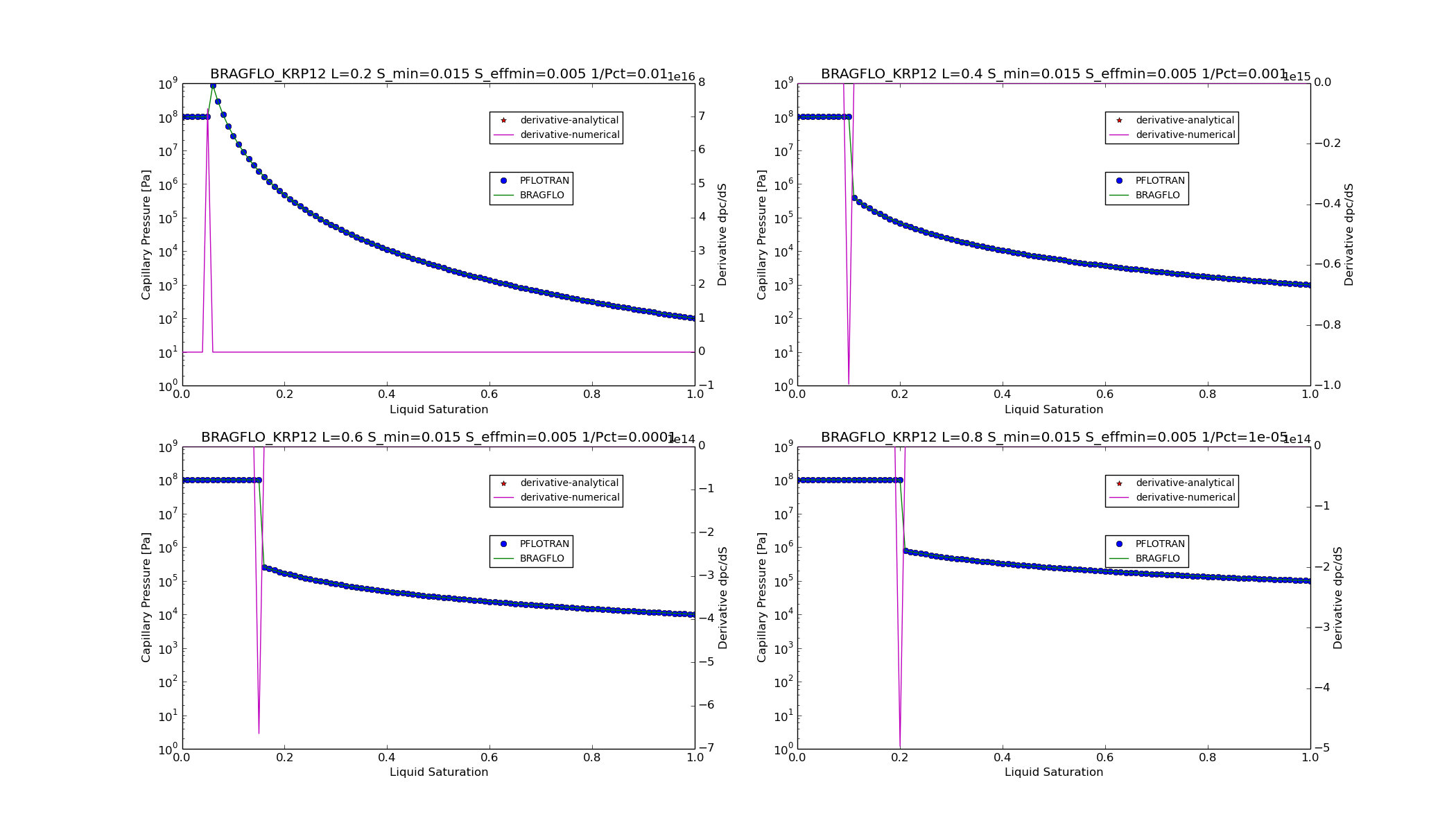
KRP12

For option CHARACTERISTIC_CURVES SATURATION_FUNCTION BRAGFLO_KRP12,

\[ \begin{align}\begin{aligned}P_t =& ak^v\\S_{e21} =& max \left[{ min \left[{ \frac{S_l - \left(S_{MIN} - S_{EFFMIN}\right)}{1 - \left(S_{MIN} - S_{EFFMIN}\right)},1 }\right],S_{EFFMIN} }\right]\\p_c =& \frac {P_t} {S_{e21}^{1/\lambda}}\end{aligned}\end{align} \]

The value of \(S_{e21}\) is not allowed to go above 1.0 or below \(S_{EFFMIN}\).

../_images/BRAGFLO_KRP12_satpc_function.png
../_images/BRAGFLO_KRP12_pcsat_function.png

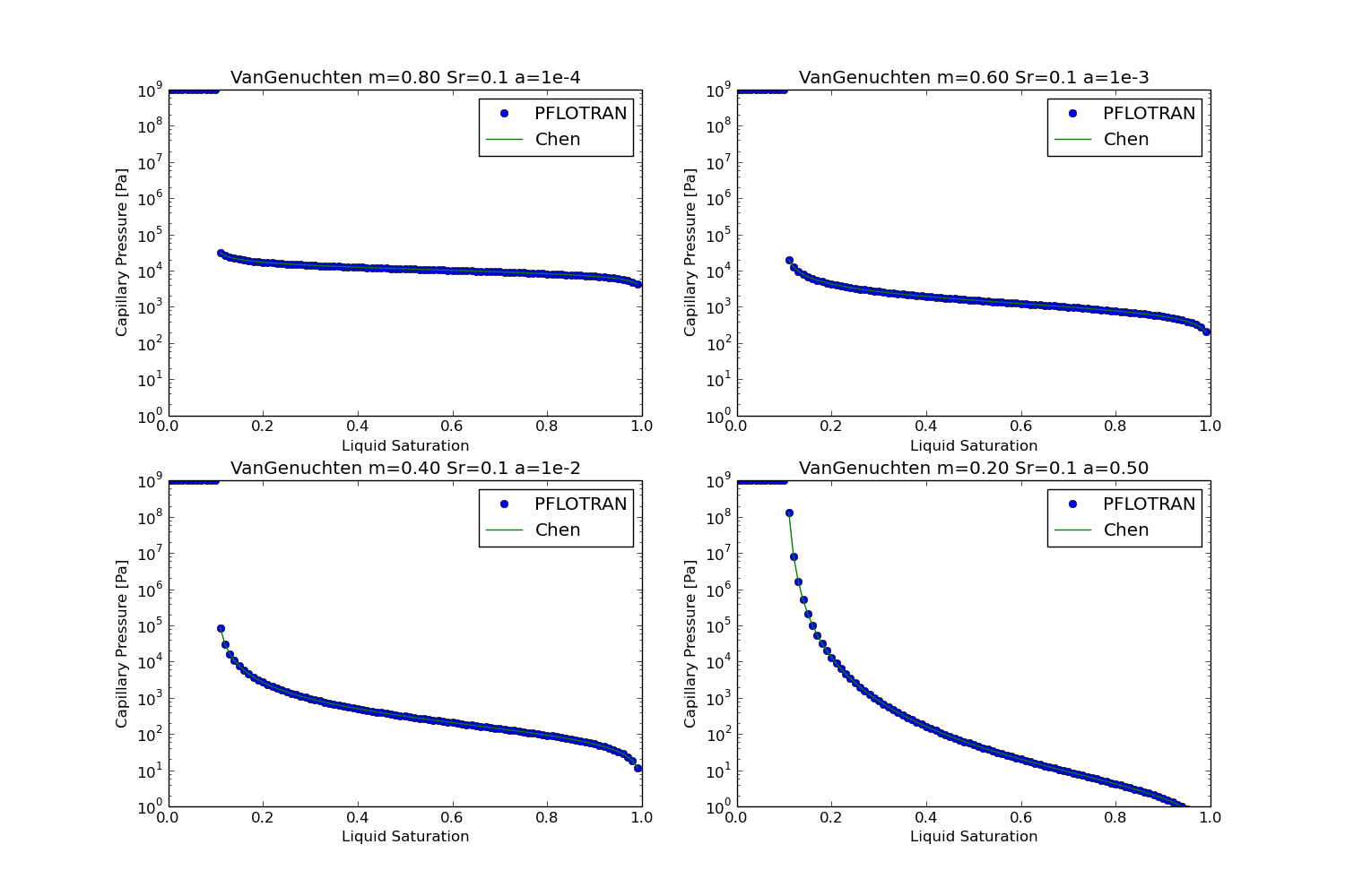
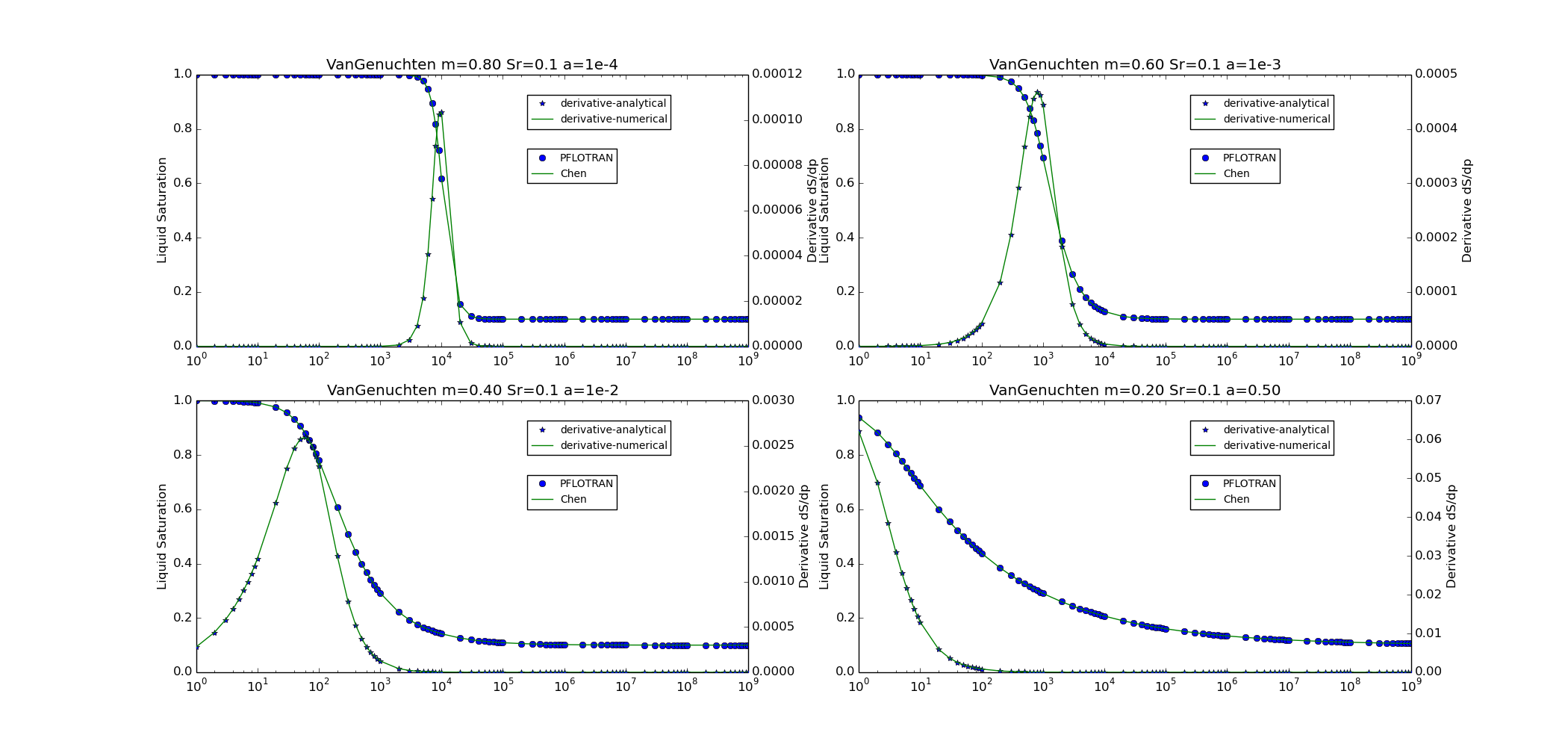
van Genuchten

This option is specified with SATURATION_FUNCTION VAN_GENUCHTEN in the CHARACTERISTIC_CURVES card.

\[ \begin{align}\begin{aligned}S_e =& \left({1 + (\alpha p_c)^{n}}\right)^{-m}\\p_c =& \frac{1}{\alpha}\left({S_e^{-1/m}-1}\right)^{1/n}\\S_e =& \frac{S_l - S_{rl}}{1 - S_{rl}}\end{aligned}\end{align} \]
../_images/vgb_sat_function.png
../_images/vgb_pc_function.png

Note, similar relationships are used for the SATURATION_FUNCTION options BRAGFLO_KRP1 and BRAGFLO_KRP8 options, with minor tweaks.

KRP1

For option CHARACTERISTIC_CURVES SATURATION_FUNCTION BRAGFLO_KRP1,

\[ \begin{align}\begin{aligned}P_t =& ak^v\\S_{e2} =& min \left[{\frac{S_l - S_{rl}}{1 - S_{rl} - S_{rg}},1}\right]\\p_c =& p_0 \left({S_{e2}^{-1/m}-1}\right)^{1-m} \hspace{0.55in} S_g \leq S_{rg}\\p_c =& p_0 \left({S_{e2}^{-1/m}-1}\right)^{1-m} \hspace{0.55in} S_l > S_{rl}\\p_c =& 0 \hspace{0.55in} otherwise\end{aligned}\end{align} \]

where the parameter \(p_0\) is derived by setting \(S_{eg}\) in the KRP4 and KRP1 capillary pressure saturation relationships to 0.5, equating the KRP4 to the KRP1 relationship, and then solving for \(p_0\) in the KRP1 side of the relationship, e.g.,

\[ \begin{align}\begin{aligned}p_0 \left({0.5^{-1/m}-1}\right)^{1-m} = P_t{0.5^{1/\lambda}}\\p_0 = P_t 2^{1/\lambda}\left({0.5^{-1/m}-1}\right)^{m-1}\\\lambda = \frac{m}{1-m}\end{aligned}\end{align} \]

The value of \(S_{e2}\) is not allowed to go over 1.0.

../_images/BRAGFLO_KRP1_satpc_function.png
../_images/BRAGFLO_KRP1_pcsat_function.png

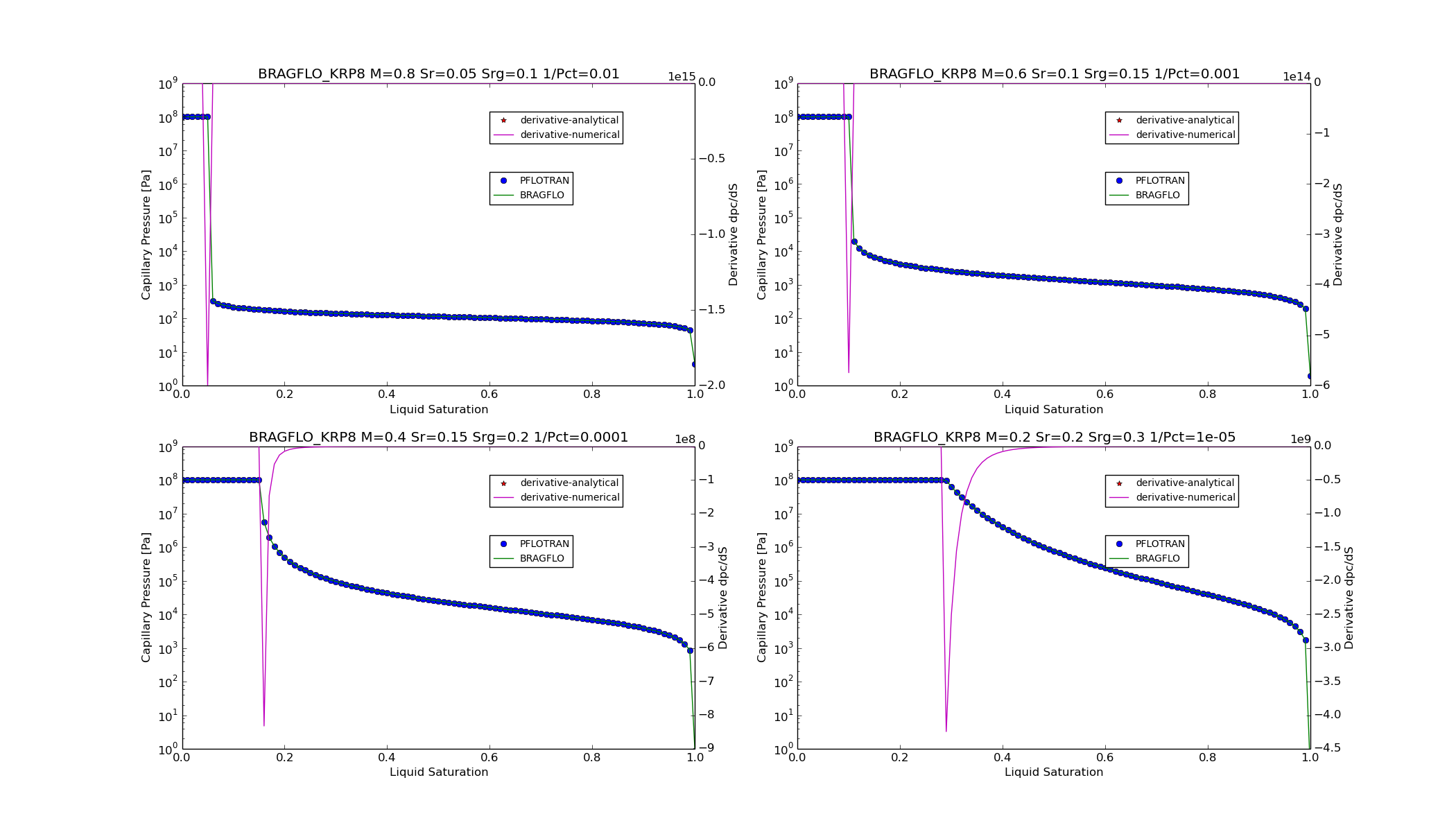
KRP8

For option CHARACTERISTIC_CURVES SATURATION_FUNCTION BRAGFLO_KRP8,

\[ \begin{align}\begin{aligned}P_t =& ak^v\\S_{e1} =& \frac{S_l - S_{rl}}{1 - S_{rl}}\\p_c =& p_0 \left({S_{e1}^{-1/m}-1}\right)^{1-m} \hspace{0.55in} S_{e1} < 1 \hspace{0.25in} and \hspace{0.25in} S_l > S_{rl}\\p_c =& 0 \hspace{0.55in} otherwise\\p_0 =& P_t 2^{1/\lambda}\left({ \left[{ \frac{0.5(1-S_{rg}-S_{rl})}{1-S_{rl}} }\right]^{-1/m} -1}\right)^{m-1}\\\lambda =& \frac{m}{1-m}\end{aligned}\end{align} \]
../_images/BRAGFLO_KRP8_satpc_function.png
../_images/BRAGFLO_KRP8_pcsat_function.png

Linear

This option is specified with SATURATION_FUNCTION LINEAR in the CHARACTERISTIC_CURVES card.

\[ \begin{align}\begin{aligned}S_e =& \frac{p_c^{max}-p_c}{p_c^{max}-\frac{1}{\alpha}}\\p_c =& S_e\left({\frac{1}{\alpha}-p_c^{max}}\right) + p_c^{max}\\S_e =& \frac{S_l - S_{rl}}{1 - S_{rl}}\end{aligned}\end{align} \]
../_images/lin_sat_function.png
../_images/lin_pc_function.png

KRP5

For option CHARACTERISTIC_CURVES SATURATION_FUNCTION BRAGFLO_KRP5,

\[ \begin{align}\begin{aligned}P_t =& ak^v\\S_{e2} =& \frac{S_l - S_{rl}}{1 - S_{rl} - S_{rg}}\\p_c =& p_c^{max} \hspace{0.55in} S_l \leq S_{rl}\\p_c =& P_t \hspace{0.55in} S_g \leq S_{rg}\\p_c =& S_{e2}\left({P_t-p_c^{max}}\right) + p_c^{max} \hspace{0.55in} otherwise\end{aligned}\end{align} \]
../_images/BRAGFLO_KRP5_satpc_function.png
../_images/BRAGFLO_KRP5_pcsat_function.png

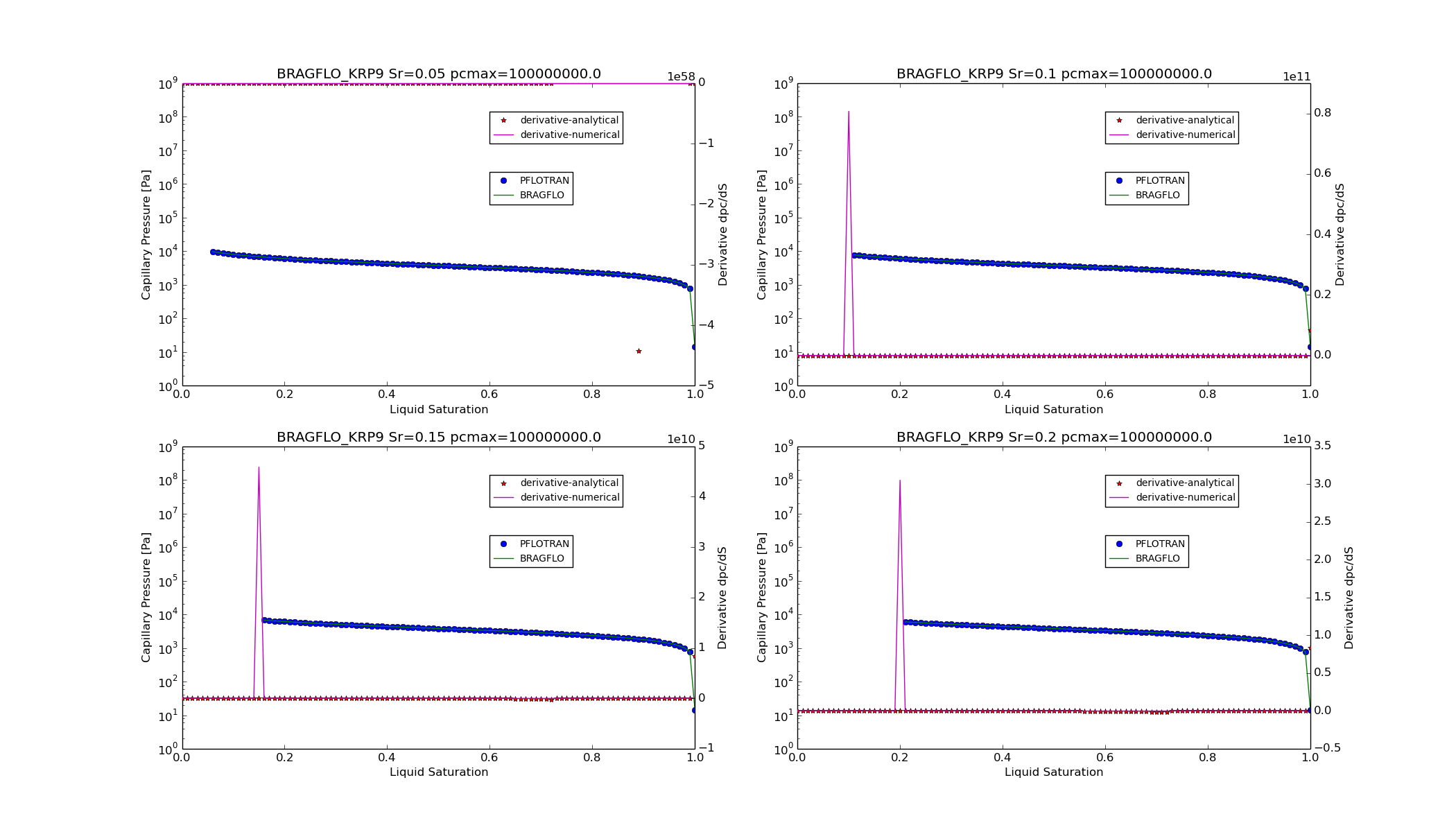
Vauclin et al. (KRP9)

This option is specified with SATURATION_FUNCTION BRAGFLO_KRP9 in the CHARACTERISTIC_CURVES card.

\[ \begin{align}\begin{aligned}S_e =& \frac{(1-S_l)}{S_l}\\p_c =& 0 \hspace{0.55in} S_{l} \leq S_{rl}\\p_c =& a S_{e}^{1/b} \hspace{0.55in} otherwise\end{aligned}\end{align} \]

where parameters \(a=3783.0145\) and \(b=2.9\)

../_images/BRAGFLO_KRP9_satpc_function.png
../_images/BRAGFLO_KRP9_pcsat_function.png

Open Cavity Modification (KRP11)

This option is specified with SATURATION_FUNCTION BRAGFLO_KRP11 in the CHARACTERISTIC_CURVES card. It simply sets the capillary pressure to zero and the liquid saturation to unity.

../_images/BRAGFLO_KRP11_satpc_function.png
../_images/BRAGFLO_KRP11_pcsat_function.png

Modified Kosugi

This option is specified with SATURATION_FUNCTION MODIFIED_KOSUGI in the CHARACTERISTIC_CURVES card.

\[ \begin{align}\begin{aligned}S_e =& \frac{1}{2}\mathrm{erfc}\left\lbrace\frac{\log \left[f(p_c)\right] - \log \kappa + \mu_Z} {\sqrt{2}\sigma_Z}\right \rbrace&\\f(p_c) =& p_c - \frac{\kappa}{r_\mathrm{max}} &\mathrm{NPARAM}=3\\f(p_c) =& \frac{1}{\frac{1}{p_c} - \frac{r_0}{\kappa}} -\frac{\kappa}{r_\mathrm{max}} & \mathrm{NPARAM}=4\end{aligned}\end{align} \]

where \(\kappa=0.149 \; \mathrm{[cm^2]}\) is a constant from the Young-Laplace equation (\(2\gamma\)), \(\mathrm{log}\) is the base-\(e\) logarithm, and \(\mathrm{erfc}\) is the complimentary error function. Given the parameters \(\sigma_Z=0.336\), \(\mu_Z=-6.25\), \(S_{rl}=0.153\), the following figures illustrate the function and its derivatives over a range of saturation and capillary pressures.

../_images/hygiene_mk3_mk4_sat_pc.png
../_images/hygiene_mk3_mk4_pc_sat.png

Testing Results For Relative Permeability Functions

The following plots show a visual comparison between the PFLOTRAN implementation of the relative permeability functions, and the equation for the relative permeability as given in Chen et al. (1999), the Theory Guide, or BRAGFLO. The linear Mualem curves remain untested against the thoery guide, but they are plotted.

Chen, J., J. W. Hopmans, and M. E. Grismer (1999) Parameter estimation of two-fluid capillary pressure-saturation and permeability functions, Advances in Water Resources, Vol. 22, No. 5, pp. 479-493.

Brooks-Corey-Burdine

This option is specified with PERMEABILITY_FUNCTION BURDINE_BC_[LIQ/GAS] in the CHARACTERISTIC_CURVES card.

\[ \begin{align}\begin{aligned}k^r_l =& S_{el}^{3+2/\lambda}\\k^r_g =& \left({1-S_{eg}}\right)^2 \left({1-S_{eg}^{1+2/\lambda}}\right)\\S_{el} =& \frac{S_{l}-S_{rl}}{1-S_{rl}}\\S_{eg} =& \frac{S_{l}-S_{rl}}{1-S_{rl}-S_{rg}}\end{aligned}\end{align} \]
../_images/bcb_relative_perm_functions.png

KRP2

For option CHARACTERISTIC_CURVES PERMEABILITY_FUNCTION BRAGFLO_KRP2_[LIQ/GAS],

\[ \begin{align}\begin{aligned}k^r_l =& 0 \hspace{0.55in} S_l \leq S_{rl}\\k^r_l =& S_{e1}^{3+2/\lambda} \hspace{0.55in} otherwise\\k^r_g =& 1 \hspace{0.55in} S_l \leq S_{rl}\\k^r_g =& \left({1-S_{e1}}\right)^2 \left({1-S_{e1}^{1+2/\lambda}}\right) \hspace{0.55in} otherwise\\S_{e1} =& \frac{S_{l}-S_{rl}}{1-S_{rl}}\end{aligned}\end{align} \]
../_images/BRAGFLO_KRP2_rel_perm_functions.png

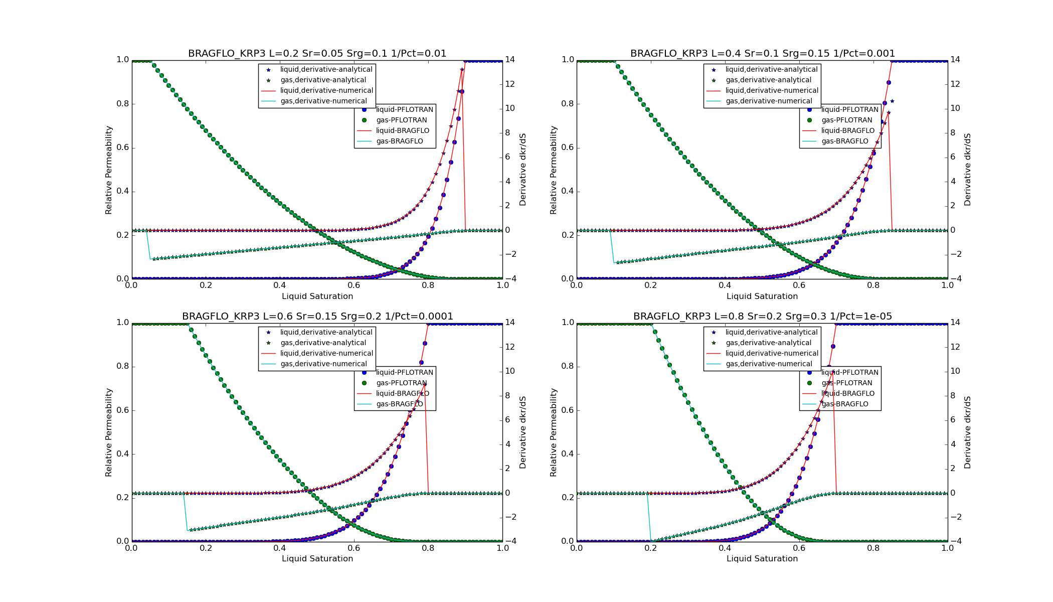
KRP3

For option CHARACTERISTIC_CURVES PERMEABILITY_FUNCTION BRAGFLO_KRP3_[LIQ/GAS],

\[ \begin{align}\begin{aligned}k^r_l =& 1 \hspace{0.55in} S_g \leq S_{rg}\\k^r_l =& S_{e2}^{3+2/\lambda} \hspace{0.55in} S_l > S_{rl}\\k^r_l =& 0 \hspace{0.55in} otherwise\\k^r_g =& 0 \hspace{0.55in} S_g \leq S_{rg}\\k^r_g =& \left({1-S_{e2}}\right)^2 \left({1-S_{e2}^{1+2/\lambda}}\right) \hspace{0.55in} S_l > S_{rl}\\k^r_g =& 1 \hspace{0.55in} otherwise\\S_{e2} =& \frac{S_{l}-S_{rl}}{1-S_{rl}-S_{rg}}\end{aligned}\end{align} \]
../_images/BRAGFLO_KRP3_rel_perm_functions.png

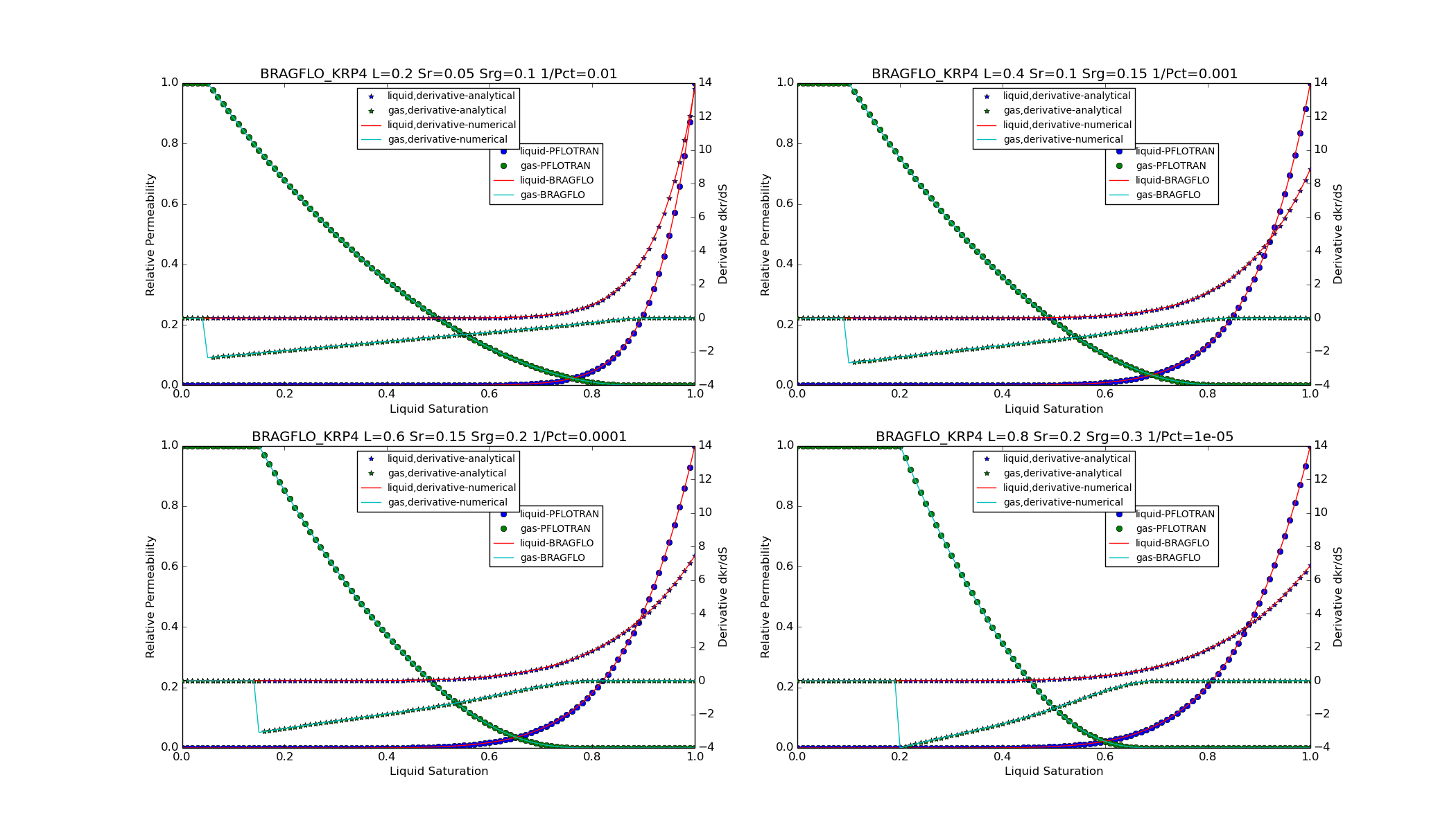
KRP4

For option CHARACTERISTIC_CURVES PERMEABILITY_FUNCTION BRAGFLO_KRP4_[LIQ/GAS],

\[ \begin{align}\begin{aligned}k^r_l =& S_{e1}^{3+2/\lambda} \hspace{0.55in} S_g \leq S_{rg}\\k^r_l =& S_{e1}^{3+2/\lambda} \hspace{0.55in} S_l > S_{rl}\\k^r_l =& 0 \hspace{0.55in} otherwise\\k^r_g =& 0 \hspace{0.55in} S_g \leq S_{rg}\\k^r_g =& \left({1-S_{e2}}\right)^2 \left({1-S_{e2}^{1+2/\lambda}}\right) \hspace{0.55in} S_l > S_{rl}\\k^r_g =& 1 \hspace{0.55in} otherwise\\S_{e1} =& \frac{S_{l}-S_{rl}}{1-S_{rl}}\\S_{e2} =& \frac{S_{l}-S_{rl}}{1-S_{rl}-S_{rg}}\end{aligned}\end{align} \]
../_images/BRAGFLO_KRP4_rel_perm_functions.png

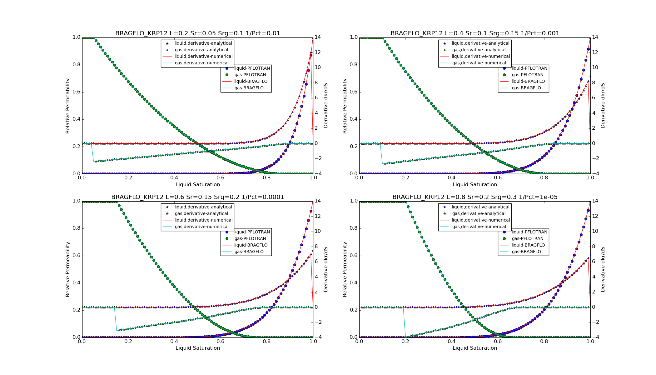
KRP12

For option CHARACTERISTIC_CURVES PERMEABILITY_FUNCTION BRAGFLO_KRP12_[LIQ/GAS],

\[ \begin{align}\begin{aligned}k^r_l =& S_{e1}^{3+2/\lambda} \hspace{0.55in} S_g \leq S_{rg}\\k^r_l =& S_{e1}^{3+2/\lambda} \hspace{0.55in} S_l > S_{rl}\\k^r_l =& 0 \hspace{0.55in} otherwise\\k^r_g =& 0 \hspace{0.55in} S_g \leq S_{rg}\\k^r_g =& \left({1-S_{e2}}\right)^2 \left({1-S_{e2}^{1+2/\lambda}}\right) \hspace{0.55in} S_l > S_{rl}\\k^r_g =& 1 \hspace{0.55in} otherwise\\S_{e1} =& max \left[{ min \left[{ \frac{S_{l}-S_{rl}}{1-S_{rl}},1 }\right] ,0 }\right]\\S_{e2} =& max \left[{ min \left[{ \frac{S_{l}-S_{rl}}{1-S_{rl}-S_{rg}},1 }\right] ,0 }\right]\end{aligned}\end{align} \]
../_images/BRAGFLO_KRP12_rel_perm_functions.png

Brooks-Corey-Mualem

This option is specified with PERMEABILITY_FUNCTION MUALEM_BC_[LIQ/GAS] in the CHARACTERISTIC_CURVES card.

\[ \begin{align}\begin{aligned}k^r_l =& S_{el}^{2.5+2/\lambda}\\k^r_g =& \sqrt{1-S_{eg}} \left({1-S_{eg}^{1+1/\lambda}}\right)^{2}\\S_{el} =& \frac{S_{l}-S_{rl}}{1-S_{rl}}\\S_{eg} =& \frac{S_{l}-S_{rl}}{1-S_{rl}-S_{rg}}\end{aligned}\end{align} \]
../_images/bcm_relative_perm_functions.png

van Genuchten-Burdine

This option is specified with PERMEABILITY_FUNCTION BURDINE_VG_[LIQ/GAS] in the CHARACTERISTIC_CURVES card.

\[ \begin{align}\begin{aligned}k^r_l =& S_{el}^2 \left({1-\left({1-S_{el}^{1/m}}\right)^m}\right)\\k^r_g =& \left({1-S_{eg}}\right)^2 \left({1-S_{eg}^{1/m}}\right)^m\\S_{el} =& \frac{S_{l}-S_{rl}}{1-S_{rl}}\\S_{eg} =& \frac{S_{l}-S_{rl}}{1-S_{rl}-S_{rg}}\end{aligned}\end{align} \]
../_images/vgb_relative_perm_functions.png

van Genuchten-Mualem

This option is specified with PERMEABILITY_FUNCTION MUALEM_VG_[LIQ/GAS] in the CHARACTERISTIC_CURVES card.

\[ \begin{align}\begin{aligned}k^r_l =& \sqrt{S_{el}}\left({1-\left({1-S_{el}^{1/m}}\right)^m}\right)^2\\k^r_g =& \sqrt{1-S_{eg}}\left({1-S_{eg}^{1/m}}\right)^{2m}\\S_{el} =& \frac{S_{l}-S_{rl}}{1-S_{rl}}\\S_{eg} =& \frac{S_{l}-S_{rl}}{1-S_{rl}-S_{rg}}\end{aligned}\end{align} \]
../_images/vgm_relative_perm_functions.png

KRP1

For option CHARACTERISTIC_CURVES PERMEABILITY_FUNCTION BRAGFLO_KRP1_[LIQ/GAS],

\[ \begin{align}\begin{aligned}k^r_l =& \sqrt{S_{e1}}\left({1-\left({1-S_{e1}^{1/m}}\right)^m}\right)^2 \hspace{0.55in} S_g \leq S_{rg}\\k^r_l =& \sqrt{S_{e1}}\left({1-\left({1-S_{e1}^{1/m}}\right)^m}\right)^2 \hspace{0.55in} S_l > S_{rl}\\k^r_l =& 0 \hspace{0.55in} otherwise\\k^r_g =& 0 \hspace{0.55in} S_g \leq S_{rg}\\k^r_g =& \sqrt{1-S_{e2}}\left({1-S_{e2}^{1/m}}\right)^{2m} \hspace{0.55in} S_l > S_{rl}\\k^r_g =& 1 \hspace{0.55in} otherwise\\S_{e1} =& min \left[{\frac{S_l - S_{rl}}{1 - S_{rl}},1}\right]\\S_{e2} =& min \left[{\frac{S_l - S_{rl}}{1 - S_{rl} - S_{rg}},1}\right]\end{aligned}\end{align} \]
../_images/BRAGFLO_KRP1_rel_perm_functions.png

KRP8

For option CHARACTERISTIC_CURVES PERMEABILITY_FUNCTION BRAGFLO_KRP8_[LIQ/GAS],

\[ \begin{align}\begin{aligned}k^r_l =& \sqrt{S_{e1}}\left({1-\left({1-S_{e1}^{1/m}}\right)^m}\right)^2 \hspace{0.55in} S_l>S_{rl} \hspace{0.2in} and \hspace{0.2in} S_{e1}<1\\k^r_l =& 1 \hspace{0.55in} S_l>S_{rl} \hspace{0.2in} and \hspace{0.2in} S_{e1} \geq 1\\k^r_l =& 0 \hspace{0.55in} otherwise\\k^r_g =& \sqrt{1-S_{e1}}\left({1-S_{e1}^{1/m}}\right)^{2m} \hspace{0.55in} S_l>S_{rl} \hspace{0.2in} and \hspace{0.2in} S_{e1}<1\\k^r_g =& 0 \hspace{0.55in} S_l>S_{rl} \hspace{0.2in} and \hspace{0.2in} S_{e1} \geq 1\\k^r_g =& 1 \hspace{0.55in} otherwise\\S_{e1} =& \frac{S_l - S_{rl}}{1 - S_{rl}}\end{aligned}\end{align} \]
../_images/BRAGFLO_KRP8_rel_perm_functions.png

Linear-Burdine

This option is specified with PERMEABILITY_FUNCTION BURDINE_LINEAR_[LIQ/GAS] in the CHARACTERISTIC_CURVES card.

\[ \begin{align}\begin{aligned}k^r_l =& \saturation_{el}\\k^r_g =& 1 - \saturation_{eg}\\S_{el} =& \frac{S_{l}-S_{rl}}{1-S_{rl}}\\S_{eg} =& \frac{S_{l}-S_{rl}}{1-S_{rl}-S_{rg}}\end{aligned}\end{align} \]
../_images/linB_relative_perm_functions.png

KRP5

For option CHARACTERISTIC_CURVES PERMEABILITY_FUNCTION BRAGFLO_KRP5_[LIQ/GAS],

\[ \begin{align}\begin{aligned}k^r_l =& 0 \hspace{0.55in} S_l \leq S_{rl}\\k^r_l =& 1 \hspace{0.55in} S_g \leq S_{rg}\\k^r_l =& S_{e2} \hspace{0.55in} otherwise\\k^r_g =& 1 \hspace{0.55in} S_l \leq S_{rl}\\k^r_g =& 0 \hspace{0.55in} S_g \leq S_{rg}\\k^r_g =& 1-S_{e2} \hspace{0.55in} otherwise\\S_{e2} =& \frac{S_{l}-S_{rl}}{1-S_{rl}-S_{rg}}\end{aligned}\end{align} \]
../_images/BRAGFLO_KRP5_rel_perm_functions.png

Linear-Mualem

This option is specified with PERMEABILITY_FUNCTION MUALEM_LINEAR_[LIQ/GAS] in the CHARACTERISTIC_CURVES card.

\[ \begin{align}\begin{aligned}k^r_l =& \sqrt{s_{el}}\frac{\ln\left({p_c/p_c^{max}}\right)}{\ln\left({\frac{1}{\alpha}/p_c^{max}}\right)}\\k^r_g =& \sqrt{1-s_{eg}}\left({1-\frac{k^{r}_{l}}{\sqrt{s_{eg}}}}\right)\\S_{el} =& \frac{S_{l}-S_{rl}}{1-S_{rl}}\\S_{eg} =& \frac{S_{l}-S_{rl}}{1-S_{rl}-S_{rg}}\end{aligned}\end{align} \]
../_images/linM_relative_perm_functions.png

Modified Kosugi

This option is specified with PERMEABILITY_FUNCTION MODIFIED_KOSUGI_[LIQ/GAS] in the CHARACTERISTIC_CURVES card

\[ \begin{align}\begin{aligned}k^r_l =& \frac{1}{2}\sqrt{S_{el}} \,\mathrm{erfc} \left[\frac{\sigma_Z}{\sqrt{2}} + \mathrm{erfc}^{-1} \left( 2 S_{el} \right) \right]\\k^r_g =& \frac{1}{2}\sqrt{S_{eg}} \,\mathrm{erfc} \left[\frac{\sigma_Z}{\sqrt{2}} + \mathrm{erfc}^{-1} \left( 2 S_{eg} \right) \right]\\S_{el} =& \frac{S_l - S_{rl}}{1 - S_{rl}}\\S_{eg} =& \frac{S_g - S_{rl}}{1 - S_{rl} - S_{rg}}\end{aligned}\end{align} \]

where \(\mathrm{erfc^{-1}}\) is the inverse complimentary error function. Given the parameters \(\sigma_Z=0.336\), \(\mu_Z=-6.25\), \(S_{rl}=0.153\), and \(S_{rg}=0.001\), the following figure illustrates the function and its derivatives over a range of liquid saturation.

../_images/hygiene_mk3_mk4_rel_perm.png

Vauclin et al. (KRP9)

This option is specified with PERMEABILITY_FUNCTION BRAGFLO_KRP9_[LIQ/GAS] in the CHARACTERISTIC_CURVES card.

\[ \begin{align}\begin{aligned}k^r_l =& 0 \hspace{0.55in} S_l \leq S_{rl}\\k^r_l =& \frac{1}{1 + a S_e^{b}} \hspace{0.55in} otherwise\\k^r_g =& 1 \hspace{0.55in} S_l \leq S_{rl}\\k^r_g =& 1 - k^r_l \hspace{0.55in} otherwise\\S_{e} =& \frac{1 - S_l}{S_l}\end{aligned}\end{align} \]

where the parameters \(a=28.768353\) and \(b=1.7241379\).

../_images/BRAGFLO_KRP9_rel_perm_functions.png

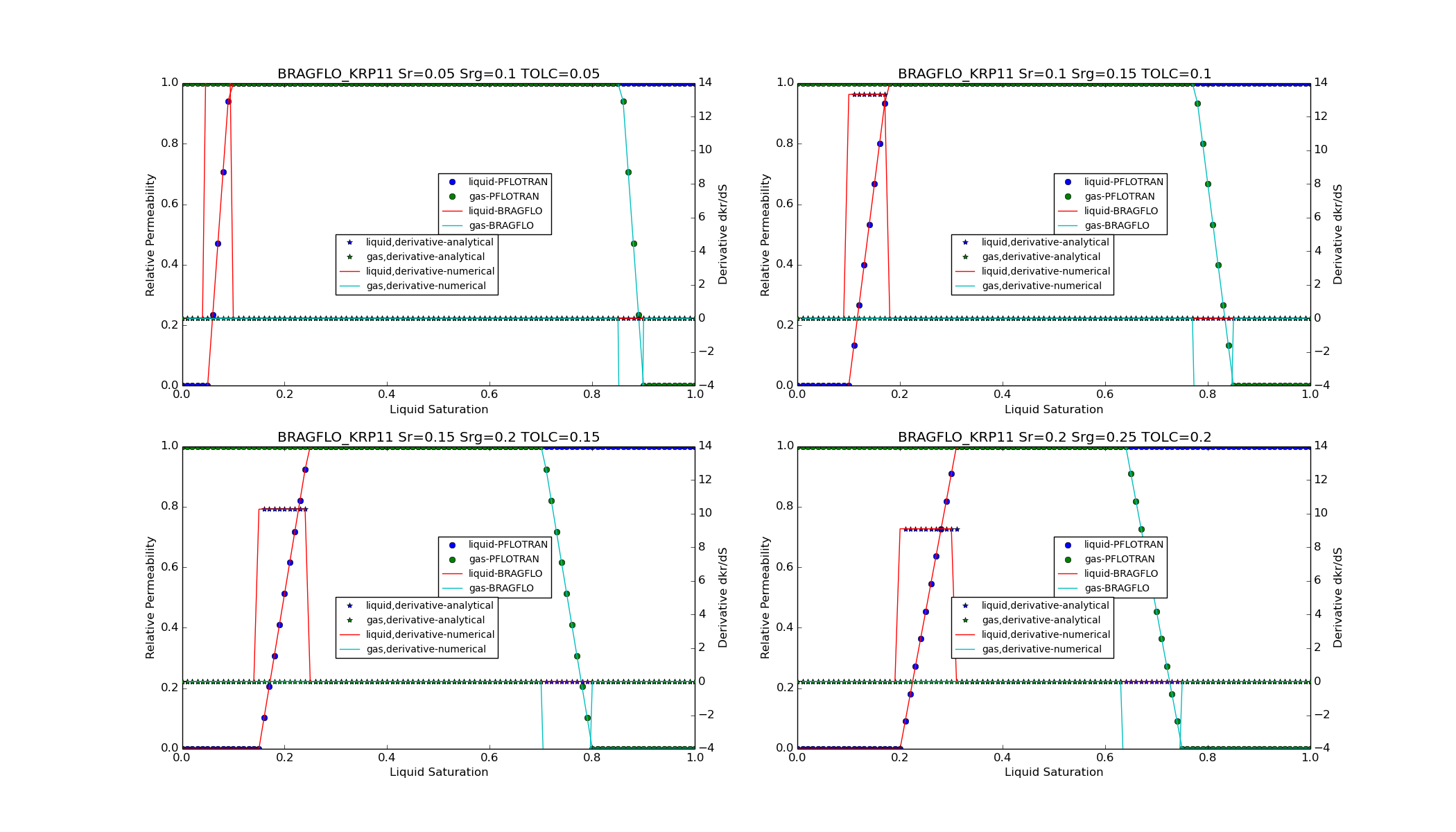
Open Cavity Modification (KRP11)

This option is specified with PERMEABILITY_FUNCTION BRAGFLO_KRP11_[LIQ/GAS] in the CHARACTERISTIC_CURVES card.

\[ \begin{align}\begin{aligned}k^r_l =& 0 \hspace{0.55in} S_l \leq S_{rl}\\k^r_l =& 1 \hspace{0.55in} S_g \leq S_{rg}\\k^r_l =& \frac{S_l-S_{rl}}{\Gamma} \hspace{0.55in} S_l \leq (S_{rl}+\Gamma)\\k^r_l =& 1 \hspace{0.55in} S_g \leq (S_{rg}+\Gamma)\\k^r_l =& 1 \hspace{0.55in} otherwise\\k^r_g =& 1 \hspace{0.55in} S_l \leq S_{rl}\\k^r_g =& 0 \hspace{0.55in} S_g \leq S_{rg}\\k^r_g =& 1 \hspace{0.55in} S_l \leq (S_{rl}+\Gamma)\\k^r_g =& \frac{S_g-S_{rg}}{\Gamma} \hspace{0.55in} S_g \leq (S_{rg}+\Gamma)\\k^r_g =& 1 \hspace{0.55in} otherwise\\\Gamma =& TOLC(1-S_{rl}-S_{rg})\end{aligned}\end{align} \]
../_images/BRAGFLO_KRP11_rel_perm_functions.png